Are you looking for DAV Maths Solutions for class 8 PDF then you are in right place, we have discussed the solution of the Secondary Mathematics book which is followed in all DAV School. Solutions are given below with proper Explanation please bookmark our website for further update !! All the Best !!
ASK YOUR QUESTION IN DAV LARGEST STUDENTS COMMUNITY
Chapter 9 | Linear Equations In One Variable Question and Answer | Class-8 DAV Secondary Mathematics
Worksheet 2
1. The present ages of A and B are in the ratio 7 : 5. Ten years later, their ages will be in the ratio 9 : 7. Find their present ages.

2. Two years ago, father was three times as old as his son and two years hence, twice his age will be equal to five times that of his son. Find their present ages.


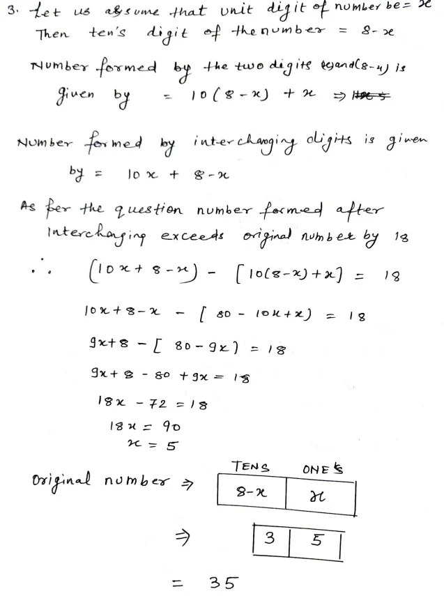
3. The sum of the digits of a 2-digit number is 8. The number obtained by interchanging the digits exceeds the given number by 18. Find the given numbers.

4. The ones digit of a 2-digit number is twice the tens digit. When the number formed by reversing the digits is added to the original number, the sum is 99. Find the original number.

5. The sum of the digits of a 2-digit number is 11. The number obtained by interchanging the digits exceeds the original number by 27. Find the number.

6. The sum of three consecutive multiples of 7 is 777. Find these multiples.

7. The sum of three consecutive multiples of 9 is 999. Find these multiples.

8. The denominator of a rational number is greater than its numerator by 7. If 3 is subtracted from the 1 numerator and 2 is added to its denominator, the new number becomes ⅕ . Find the rational number.

9. The numerator and denominator of a rational number are in the ratio 3 : 4. If the denominator is increased by 3, the ratio becomes 3 : 5. Find the rational number.

10. A motor boat goes downstream and covers a distance in 4 hrs while it covers the same distance upstream in 5 hrs. If the speed of the stream is 3 km/hr, find the speed of the motor boat in still water.

11. A steamer, going downstream in a river, covers the distance between 2 towns in 15 hours. Coming back upstream. it covers this distance in 20 hours. The speed of the water is 3 km/hr, Find the distance between two towns.

12. The distance between 2 towns is 300 km. Two cars start simultaneously from these towns and move 1 towards each other. The speed of one car is more than the other by 7 km/hr. If the distance between the cars after 2 hours is 34 km, find the speed of the cars.

13. The length of a rectangle is greater than the breadth by 18 cm. If both length and breadth are increased by 6 cm, then area increases by 168 cm2. Find the length and breadth of the rectangle.

14. The length of a rectangle is greater than the breadth by 3 cm. If the length is increased by 9 cm and the breadth is reduced by 5 cm, the area remains the same. Find the dimensions of the rectangle.

15. The difference between two positive integers is 30. The ratio of these integers is 2 : 5. Find the integers.

16. The sum of two positive integers is 105. The integers are in the ratio 2 : 3. Find the integers.

17. A money box contains one-rupee and two-rupee coins in the ratio 5 : 6. If the total value of the coins in the money box is ₹ 85, find the number of two-rupee coins.

18. A purse has only one-rupee and two-rupee coins in it. The number of two-rupee coins is one-third the number of one-rupee coins. If the purse has ₹ 115, find the number of two-rupee coins.

- DAV class 8 Maths Book Solutions
- Chapter 1 | Square and Square Roots | Class-8 DAV Secondary Mathematics
- Chapter 2 | Cube and Cube Roots | Class-8 DAV Secondary Mathematics
- Chapter 3 | Exponents And Radicals | Class-8 DAV Secondary Mathematics
- Chapter 4 | Direct And Inverse Variation | Class-8 DAV Secondary Mathematics
- Chapter 5 | Profit, Loss And Discount | Class-8 DAV Secondary Mathematics
- Chapter 6 | Compound Interest | Class-8 DAV Secondary Mathematics
- Chapter 7 | Algebraic Identities | Class-8 DAV Secondary Mathematics
- Chapter 8 | Polynomials | Class-8 DAV Secondary Mathematics
- Chapter 9 | Linear Equations In One Variable | Class-8 DAV Secondary Mathematics
- Chapter 10 | Parallel Lines | Class-8 DAV Secondary Mathematics
- Chapter 11 | Understanding Quadrilaterals | Class-8 DAV Secondary Mathematics
- Chapter 12 | Construction Of Quadrilaterals | Class-8 DAV Secondary Mathematics
- Chapter 13 | Introduction To Graphs | Class-8 DAV Secondary Mathematics
- Chapter 14 | Mensuration | Class-8 DAV Secondary Mathematics
- Chapter 15 | Statistics and Probability | Class-8 DAV Secondary Mathematics
- Chapter 16 | Rotational Symmetry | Class-8 DAV Secondary Mathematics

Very Helpful Website
This website help me a lot . Thanks sir 😊
Exam hai 20 se?
Bahut achha sir
Bahut achha kiya sir aapne
Other DAV subject ka aisa hi kijiye
thanks
Bhai g kamal 👍🏻👍🏻👍🏻👍🏻
Helpful website
Very helpful for students.